Trabalho 10
Conteúdos
- Trabalho 02
- Trabalho 03
- Trabalho 04
- Trabalho 06
- Trabalho 07
- Trabalho 08
- Trabalho 09
- Trabalho 10
- Trabalho 11
- Trabalho 12
Nome da Atividade: MLP para reconhecimento de flores
Nome e Matrícula: Lucas Lima do Nascimento - 12111ECP024
Introdução e Desenvolvimento:
Nesse trabalho, tentei explorar as diferenças entre um MLP com uma fração da base de dados sendo usada para validar e sem essa fração.
Para isso, utilizei o SKLearn para implementar o MLP com todos os ferramentais necessários para poder aprender.
Obtive resultados interessantes. Como a base de dados era muito pequena (apenas 150 informações), a rede neural que fracionava sua base de dados acaba perdendo muito poder de reconhecimento dos dados.

Também plotei as curvas relativas às perdas de cada um dos MLPs. Esses foram os gráficos obtidos:
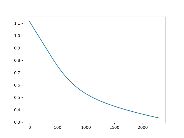
Sem separação:

No eixo Y - Valor da perda, no eixo X - número de iterações
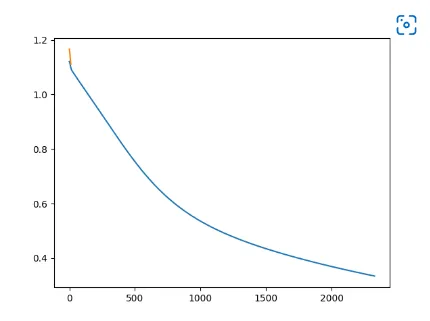
Com separação:

No eixo Y - Valor da perda, no eixo X - número de iterações
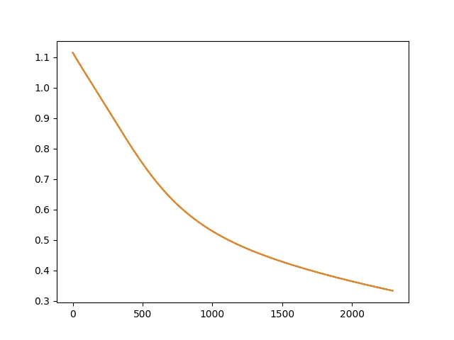
Sobrepostas:

No eixo Y - Valor da perda, no eixo X - número de iterações
Código:
from sklearn.neural_network import MLPClassifier
from pandas import read_excel as rx
from matplotlib import pyplot
import numpy as np
#Loading the data
dataset_init=rx('iris_data.xlsx',names=['Setal_length','Setal_width','Petal_length','Petal_width','Class'])
dataset=dataset_init.values
values=dataset[:,0:4] #Values
classes=dataset[:,4] #Classes
mlp=MLPClassifier(hidden_layer_sizes=(100,), activation='logistic', solver='sgd', alpha=0.00001, max_iter=3000)
mlp_with_separation_data=MLPClassifier(hidden_layer_sizes=(100,), early_stopping=True, validation_fraction=0.1, activation='logistic', solver='sgd', alpha=0.00001, max_iter=3000)
#Training
mlp.fit(values,classes)
mlp_with_separation_data.fit(values,classes)
print("Acerto do MLP sem separação da base de dados dos testes: ",mlp.score(values,classes))
print("Acerto do MLP com separação da base de dados dos testes: ",mlp_with_separation_data.score(values,classes))
#Plotting
pyplot.plot(mlp.loss_curve_)
pyplot.savefig('mlp_loss.png')
pyplot.plot(mlp_with_separation_data.loss_curve_)
pyplot.savefig('mlp_separation_loss.png')
#Guessing
setal_length = float(input("Digite o valor do comprimento da setala "))
setal_width = float(input("Digite o valor da largura da setala "))
petal_length = float(input("Digite o valor do comprimento da petala "))
petal_width = float(input("Digite o valor da largura da petala "))
new_flower = np.array([setal_length,setal_width,petal_length,petal_width]).reshape(1,-1)
pred_mlp = mlp.predict(new_flower)
pred_mlp_with_separation_data = mlp_with_separation_data.predict(new_flower)
print("Previsão do MLP sem separação dos dados: ",pred_mlp[0])
print("Previsão do MLP com separação dos dados: ",pred_mlp_with_separation_data[0])