Atividade 01
Conteúdos
Nome da Atividade: Modelagem e Simulação de Sistemas Dinâmicos - Atividade 01
Nome e Matrícula: Lucas Lima do Nascimento - 12111ECP024
1. Apresente um texto de até 20 linhas, que explica como Henri Poincaré, as equações diferenciais e o problema dos três corpos estão conectados com o surgimento da área de sistemas dinâmicos.
Inicialmente, um problema pensado para ser o objetivo de um prêmio de matemática, o problema dos três corpos envolve o estudo da evolução comportamental de um sistema com três corpos celestes ao longo do tempo. Henri Poincaré, exímio matemático e considerado por muitos um dos últimos sábios, participou da competição e fez sua solução para tratar de um caso particular desse problema: O problema restrito dos 3 corpos.
Se ignorarmos as alterações nas órbitas causadas por corpos celestes de massa menor, temos um caso normal de órbitas keplerianas, entretanto, essas interações entre os planetas existem e podem inclusive ser usadas para a descoberta de novos corpos celestes.
Do ponto de vista matemático, é um problema com três graus de liberdade, o que significa que teremos uma equação com três variáveis.
No processo de atacar esse problema, Poincaré, apesar de não ter conseguido resolver de fato o problema, trouxe métodos de cálculo revolucionários, de forma que o júri da competição ainda sim deu o prêmio a ele por sua contribuição, apesar de erros terem sido encontrados e corrigidos futuramente.
Poincaré então, caminha num sentido diferente, onde seu objetivo principal é descrever qualitativamente as soluções, mesmo quando não podemos encontrar uma solução analítica para o problema, criando assim, o grande fundamento das tratativas relacionadas aos sistemas dinâmicos (que muitas vezes são complexos de se modelar e resolver analiticamente, porém, analisá-los qualitativamente acaba trazendo informações absolutamente relevantes).
2. a) Explique a diferença entre uma ODE e uma PDE e quando elas são aplicadas.
A principal diferença entre as duas é o número de entradas. Em uma ODE - Ordinary Diferential Equation (Equação Diferencial Ordinária), existe apenas uma variável de entrada que é regida pela equação. Já nas PDEs - Partial Diferential Equations (Equações Diferenciais Parciais), várias entradas regem a equação.
Pensamos nas PDEs quando pensamos em um conjunto infinito de valores sendo alterados continuamente com o tempo, como por exemplo, a velocidade de um flúido em todo ponto no espaço. Já quando pensamos nas ODEs, pensamos em um conjunto finito de valores sendo alterados com o tempo.
2. b) O que representa um gráfico de espaço fásico e quais informações ele pode nos dar.
Um gráfico de espaço fásico em termos mais generalistas, é um gráfico contendo os possíveis estados ao longo do tempo de um sistema. Ele é muito útil para nos dar informações sobre quais as tendências do fluxo de fase ao longo do tempo. No contexto de física, ele é reservado para um caso mais específico de gráfico posição x momento.
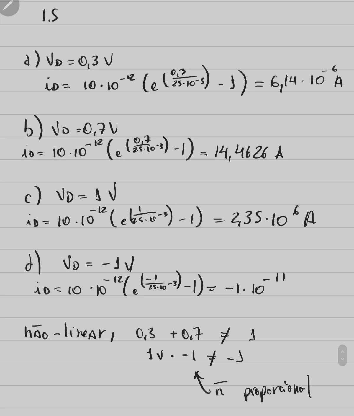
2. c) Explique o significado matemático e sua aplicação física do uso de uma potência elevada à uma matriz. Dê um exemplo
Não entendi
3. a) Explique a diferença entre o método de Euler e o algoritmo utilizado pelo método ode45.
A grande diferença entre o método de Euler e o algoritmo utilizado pelo método ode45 em termos práticos é a taxa de custo computacional/acurácia. Para sistemas muito simples, o método de Euler e o ode45 vão produzir os mesmos resultados sem muita diferença computacional, entretanto, quanto mais complicado, mais passos são necessários para garantir a acurácia.
O método de Euler, por ser um procedimento de primeira ordem global, acaba por pedir uma redução de passo equivalente à redução de erro, ou seja, se quiser reduzirmos o erro pela metade, o passo terá que ser dividido pela metade também. Já o ode45, possui quarta ordem global e quinta ordem local, fazendo com que se, por exemplo, diminuirmos o passo pela metade, o erro será multiplicado por um fator de 1/16, diminuindo em muito o poder computacional necessário para determinadas simulações onde a precisão é necessária.
3. b) Efetue a simulação dos seguintes sistemas:
3. b.1) Exemplo simples

3. b.2) Oscilador simples


Diferença entre step autodeterminado (verde) e step manual (vermelho):

4. Reproduza todos os exemplos apresentados na primeira aula, a constar, do Exemplo 1.1 até o Exemplo 1.7.
Exemplo 1.1

Exemplo 1.2

Exemplo 1.3

Exemplo 1.4
a)

b)

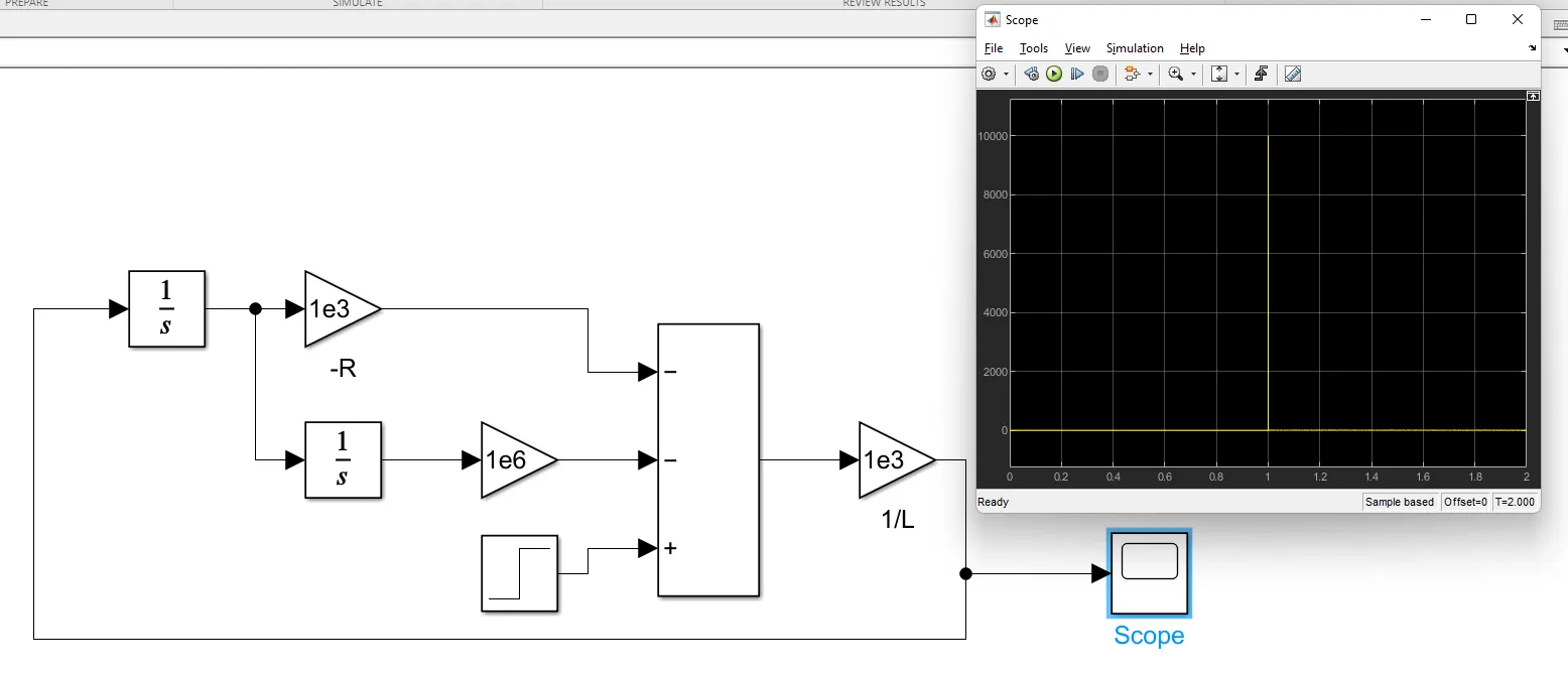
Exemplo 1.5

Exemplo 1.6
a)

b)

Exemplo 1.7
a)

b)
