Roteiro 08
Conteúdos
Nome da Atividade: Resposta no Tempo - Atividade 08
Nome e Matrícula: Lucas Lima do Nascimento - 12111ECP024
2. Refaça todos os exemplos apresentados na Aula 8.
8.1)
a)

b)

c)

d)

8.2)
a)


b)


8.3)


8.4)
8.5)a)

b)

c)

d)

Capítulo 4 - Nise
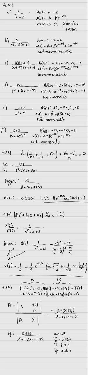
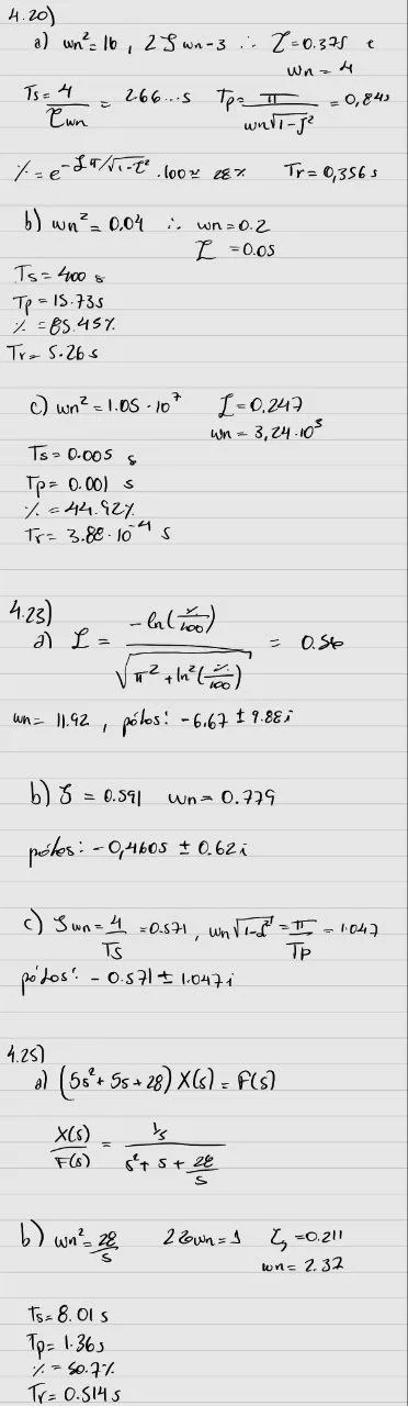
4.2)


4.10)



